Ana Sayfa

 
       

    Anasayfa      Haber Detay Ekranı

 
   

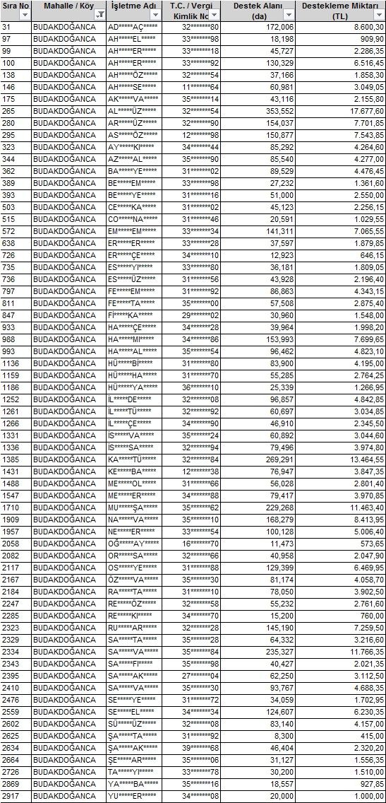
2021 Yılı Üretim Yılı Ek Girdi Desteği Askı Listeleri



 2021 Yılı Üretim Yılı Ek Girdi Desteği Askı Listeleri

Türkiye Tarım Havzaları Üretim ve Destekleme Modeli Kapsamında 2021 üretim yılı Çiftçi Kayıt Sistemi kayıtlarına göre buğday, arpa, çavdar, yulaf ve tritikale ürünlerine bir defaya mahsus olmak üzere dekara 50 TL ek girdi desteği ödemesi, 5284 Karar Sayılı " 2021 Yılında Yapılacak Tarımsal Desteklemeler ve 2022 Yılında Uygulanacak Gübre Ve Sertifikalı Tohum Kullanım Desteklerine İlişkin Kararda Değişiklik Yapılmasına Dair Karar" doğrultusunda  Edirne Merkez köy ve mahallelerinde 1 Nisan - 5 Nisan 2022 askıya çıkarılmıştır. İtirazı olan üreticilerimizin İl Tarım ve Orman Müdürlüğü'ne başvuru yapmaları gerekmektedir. Belirtilen tarihten sonra yapılacak itirazlar değerlendirilmeyecektir.

Üreticilerimize önemle duyurulur.

 EDİRNE İL TARIM VE ORMAN MÜDÜRLÜĞÜ

    

    
 Okunma Sayısı : 942



      
Eklenme Tarihi : 4.04.2022

DUYURU SİSTEMİ

KÖYÜMÜZ İLE İLGİLİ DUYURULAR WHATSAPP MESAJI OLARAK GÖNDERİLMEYE BAŞLANMIŞTIR. WHATSAPP GRUBUMUZA ÜYE OLUNUZ..

GRUBA ÜYE OLMAK İÇİN TIKLAYINIZ

NOT: WHATSAPP YOLU İLE GELEN DUYURULARI İNTERNET KULLANMAYAN YAKINLARINIZA İLETECEĞİNİZİ UMUYORUZ.

......................................................................
GÜNCELLEME (12.10.2021)

2022 YILI DÜĞÜN DERNEK TAKVİMİMİZ GÜNCELENMİŞTİR.  TIKLAYINIZ

DÜĞÜNLERİMİZİN ÇAKIŞMAMASI İÇİN LÜTFEN DÜĞÜN TARİHLERİNİZİ SİTEMİZE BİLDİRİNİZ. 2123540@gmail.com

 Not: Davetiye Listesi için takvimin sol alt kısmında 2.sayfaya Tıklamanız gerekmektedir.

......................................................................
MEZUNİYET

SEVGİLİ ÖĞRENCİLERİMİZ... Mezuniyet Fotoğraflarınızı  info@budakdoganca.com  adresimize gönderirseniz sitemizde yayınlamaktan mutluluk duyarız. SİTE YÖNETİMİ

......................................................................

EN DOĞRU HAVA TAHMİNİ İÇİN  TIKLAYINIZ

......................................................................
20.06.2011

Sayın Budakdoğancalılar; Web sitemiz aracılığı ile  her türlü sevinçlerinizi paylaşabilirsiniz. Yeter ki bizlere iletin..Sizlere bir telefon kadar yakınız... Necmettin KIYICI : 0505 453 27 78 , Yılmaz FINDIK : 0535 424 61 12

......................................................................

İlimizdeki Nöbetçi Eczaneler İçin TIKLAYINIZ 

......................................................................

       REKLAM ALANI

        MAİL ÜYELİĞİ


EDIRNE

İLİMİZİN 5 GÜNLÜK
 HAVA DURUMUNU
GÖRMEK İÇİN
TIKLAYINIZ